Defining the dynamic model
The conventional robotics equation describing the inner forces (1) of a kinematic chain of rigid forces in the absence of external forces can be obtained by employing any established algorithm, e.g. Newton-Euler iterative method or the Lagrangian method.

(1)
where,
vector of motor torques exerted in each joint.
is the robot inertia matrix, which is a function of the joints’ values.
is the Coriolis and centripetal forces vector, which also depends on the joints’ values and velocities.
is the gravity forces vector depending on the robot position.
is the friction torques vector. In general terms, it also dependent on the joints velocities.
Although the friction is a complex nonlinear phenomenon, in many robotics applications it is modelled by considering only the Coulomb term and viscous friction yielding to (2).
Figure 1- Typical shape of friction torque versus joint speed.

(2)
This expression of the friction maintains the linear model and ensures the possibility of applying linear estimators for the model identification. In (1), the motor torque is also linear with the inertial parameters. On a hydraulic actuator based on servo-valves the motor torque can be estimated by using the expression in (3), where Kp is a constant and ΔP is the differential pressure between the two chambers of the hydraulic actuator.

(3)
Similar expression is often employed to estimate the motor torque in an electrical actuator, such as the three-phase brusshless motors, typically mounted in robotics. Instead of using the differential pressure, the measured quadrature current is employed to estimate the feedback torque by using the motor torque constant in . The quadrature current is proportional to the amplitude of the three-phase current, thus either the amplitude or the RMS value can be easily obtained from it.
(4)
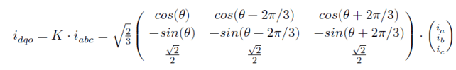
When no access to the quadrature current is possible, the Park transformation can be used to transform a three-phase system into a direct and quadrature system (5).
(5)

Leave a comment