Enrique del Sol – Robotics, Mechatronics & Control Research Portfolio, Robotics Research Blog, Meeting Point & Showcase of Ideas
Follow Enrique del Sol – Robotics, Mechatronics & Control Research on WordPress.com

Menu

Skip to content
  • Home
  • Who am I?
  • Publications
  • Research Blog
  • Contact

idqo

‹ Return to Dynamic modelling of robots with rigid links (I)

Posted on Apr 26, 2016 by enrikds — Leave a comment
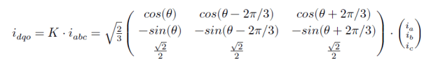
Matrix transformation from three phase currents to current amplitude

Share this:

  • Tweet
  • Email a link to a friend (Opens in new window) Email
  • Print (Opens in new window) Print
  • Share on Tumblr
  • Share on Telegram (Opens in new window) Telegram
  • Share on WhatsApp (Opens in new window) WhatsApp
Like Loading...
Expression of motor torque

Leave a comment Cancel reply

  • Twitter
  • LinkedIn
  • YouTube
© 2026 Enrique del Sol – Robotics, Mechatronics & Control Research
↑
Create a free website or blog at WordPress.com.
Privacy & Cookies: This site uses cookies. By continuing to use this website, you agree to their use.
To find out more, including how to control cookies, see here: Cookie Policy
  • Comment
  • Subscribe Subscribed
    • Enrique del Sol - Robotics, Mechatronics & Control Research
    • Already have a WordPress.com account? Log in now.
    • Enrique del Sol - Robotics, Mechatronics & Control Research
    • Subscribe Subscribed
    • Sign up
    • Log in
    • Copy shortlink
    • Report this content
    • View post in Reader
    • Manage subscriptions
    • Collapse this bar
%d